基于计算的海峡两岸女性译名性别义溢出情况对比研究
[摘 要] “性别义溢出”是女性译名中的一种重要现象,海峡两岸女性译名在这方面有较为明显的差异。文章提出“女性度”的概念,以12万多个大陆人名为基础,用计算方法得出女名用字的女性化色彩强弱数值,并以此为依据对两岸女性译名的性别义溢出情况进行量化比较。台湾女性译名的整体女性度以及个体译名女性度普遍高于大陆译名,译名中所使用的强标记数量更多、范围更广。女性译名中男性及中性标记的使用、译名的音节长度、译名中女性标记的数量和位置等都会对译名的性别义溢出情况产生影响。这种共时平面的差异是在历时演变中产生的,台湾译名继承了早期现代汉语译名义溢出的习惯。在两岸语言不断由差异走向融合的今天,女性译名也呈现出趋同的一面。
[关键词] 海峡两岸;译名;义溢出;女性度
引言
海峡两岸译名差异问题自两岸开始交流之时就引起了学者们的关注,比如,郑启五列举了两岸翻译同一地名、人名的不同形式,1邱质朴对比了两岸在国家译名、首都译名和部分世界名人译名上的差别;2方梦立在比较两岸人名、地名翻译差异的基础上,指出了统一规范化的必要性和意义;3贺文照分析了两岸人名翻译方法的差异,认为其根源在于两岸政治、经济、文化等各个方面。4
在人名翻译方面,人们注意到的差别主要有3点:一是音节的长度;二是与中国传统姓名的一致程度;三是性别的区分度。前两方面的意见比较一致,而第三点则有一定的分歧,比如林木森指出大陆译名“性别义溢出”现象非常明显,即在译名选字上体现性别差异,5而周风琴却并不完全赞成此说,她以“希拉里”为例,认为大陆的翻译“全然看不到一点女性的特色”,而台湾的译名“希拉蕊”更“女人”。6周文只是举例说明,并未就此展开更多的论述。在我们看来,林氏和周氏的观点都有其合理性,但是都不够全面,而令人遗憾的是,我们至今尚未看到其他相关的深入讨论。
“义溢出”是潘文国所用的术语,指翻译中源语和译入语双方在意义上的不对等现象。译入语词所表示的意义少于源语言的语词,叫“义缺省”(meaning shortage);反之,译入语词在意义上多于源语言的语词,则叫“义溢出”(meaning over-flow)。7潘氏指出,译名中的义溢出主要体现在姓名、性别、褒贬等方面,其中最显著的便是性别义溢出。
那么,就两岸女性译名而言,性别义溢出状况是否有差别?如有差别,具体情况如何?这是一个很有意思的问题,很有讨论的必要,理由至少有以下几个:
第一,外语词汉译时的义溢出现象是一个非常值得研究的问题,但却一向少受关注,讨论得不多,因此这方面的探究有很大的意义和价值;
第二,人名一向是语言单位中最有文化内涵的部分之一,影响所及,在两岸外来人名的翻译上也有所体现,但是程度、方式以及倾向性等并不完全相同,所以,借由这一“窗口”,正可以从一个侧面了解两岸语言及文化等的差异;
第三,如果在相关的研究中尝试使用某些新的方法(比如本文所用的“计算”方法),那么它的意义自然就不仅仅局限于这个问题本身了。
有鉴于此,我们收集了部分两岸女性译名,主要就性别义溢出方面的表现进行穷尽性的比较分析,并试图以量化的形式反映两地的差异。我们的考察对象有两部分,一是国际政坛女性人物译名,二是欧美娱乐女明星译名。前者的大陆部分主要来自新华网公布的国际政要名,以及外交部网站发布的世界各国介绍,也有部分信息来自新浪、搜狐、百度、维基百科等网站,主要以新华社译名室发布的译名为标准,个别译名参照外交部、人民网等网站的译名形式;后者主要来自中国娱乐网(http://star.yule.com.cn/omg/),这些明星涉及模特、歌手、演员等行业,她们在大陆和台湾都有较高的知名度。
至于台湾方面,主要以雅虎奇摩新闻(http://tw.news.yahoo.com/)、苹果日报网站(http://www.appledaily.com.tw)以及今日新闻网(www.nownews.com)为资料来源,其中雅虎奇摩新闻可以检索到多家台湾报纸媒体,包括《自由时报》、《中时电子报》、《台湾醒报》、《台湾新生报》、《更生日报》、《自立晚报》等。
我们共收集到大陆译名221个,台湾译名349个。其中大陆政治人物译名108个,台湾182个;大陆欧美明星译名113个,台湾167个。两地的数据相差比较大,主要原因是大陆译名比较统一(一名一译),台湾译名相对多样(一名多译)。
由于两岸翻译同一人名时在形式上常常不对称,大陆多用全名,台湾多用简称,所以我们抽取译名里共同的译音部分进行比较,比如哥斯达黎加女总统 Laura Chinchilla Miranda,大陆译为“劳拉·钦奇利亚·米兰达”,台湾译为“秦奇亚”或“秦祺雅”,二者共同翻译的部分是“Chinchilla”,因此我们只比较“钦奇利亚—秦奇亚/秦祺雅”;原名有差异,抽取后没有差异的不作比较,比如爱尔兰女总统 Mary Mcaleese,大陆译为“玛丽·麦卡利斯”,台湾译为“麦卡利斯”,二者共同翻译的部分是“Mcaleese”,两地都翻译为“麦卡利斯”,这样的情况不在比较之列。此外,针对同一部分的翻译有多种形式的,放在一组内统计,比如菲律宾前女总统 Gloria Macapagal Arroyo 大陆译为“格洛丽亚·马卡帕加尔·阿罗约”,台湾译为“阿诺育、雅罗育、艾若育、艾洛雅”等,我们将“阿罗约—阿诺育/雅罗育/艾若育/艾洛雅”放在一组进行比较。初步整理的对称差异译名共计200组,其中政治人物类97组,明星类103组,以下的对比分析就在这一范围内展开。
一、女名用字的“女性度”及其计算分析
对于女性取名以及译名用字,人们进行过一些研究,比如潘文国将中国人常用女名用字分为带女旁字、花鸟字、闺物字、珍宝字、彩艳字、柔景字、柔情字、女德字等8类;8王奇提到,“女字旁、斜玉旁、草字头、雨字头这些偏旁常见于翻译女名的专用字”;9朱明胜也持同样的观点,并结合译名问题说道:“中国女性的姓名中常常带有‘花’、‘芳’、‘莲’、‘丽’、‘兰’等明显表示女性性别的字,所以在翻译外国女士名字的时候也应该体现此特征。”10
那么,上述这些类别的女名常用字所具有或反映的女性色彩程度是不是一样的?如果不一样,差别在哪,又应该怎样呈现和表述?这个问题似乎从未有人提及,但是无疑很有研究的意义和价值。事实上,不同女名常用字女性色彩的轻重强弱程度并不完全相同,如上文提到的“花、芳、莲、丽、兰”等,其女性化色彩的浓淡应该就有一定的差别。这里,我们试着提出一个“女性度”的概念,义指女性人名用字女性化特征的强弱程度,并试图由此入手来进行一些考察和分析。
我们在百度文库中以“名单、花名册、公示”等为关键词进行表格检索,随机抽取了共包含123,767个姓名的164个样本,其中男名66,447个,女名57,320个。这些样本全部来自中国内地,在地域上分布较广,除了标注姓名、性别之外,往往还有一些其他信息,如报名号、准考证号、学号、家庭住址、联系电话等,有的甚至还标注有身份证号,这些信息能较好地保证样本的真实性。
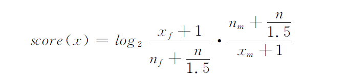
我们对这12万多个姓名进行统计(只统计名,不统计姓),根据名字在男女性别中出现的次数和比例,对所用的2853个字赋值,最终按照女性度的高低进行排序,计算公式如下:

其中,x是女名中的任一用字,n是所有名字所使用的字的个数(重复出现的,只计一次),nf是女名总个数,nm是男名总个数,xf是出现x的女名个数,xm是出现x的男名个数,score(x)是x的女性度。
以“媛”为例,在123,767个名字中,男名66,447个,女名57,320个,名字中一共使用2853个字,“媛”在女名中出现473次,在男名中出现0次,即 n=123767,nf=57320,nm=66447,xf=473,xm=0,n=2853,最终计算出 score(媛)≈9.096。
按照上述公式,我们对上述所有人名用字进行了计算,得出了每一个字的赋值,并且列出了直观的赋值表。数值以0为界,理论上没有上限和下限,数值越大,女性度越高。需要说明是,每个字的排序及具体赋值会因样本大小和计算方法而发生改变,样本越大,排序及赋值越接近自然状态。
在赋值表中,女性度最高的前20个字是“媛、花、娜、莉、婷、妮、娟、妍、娇、娥、婉、婕、婧、蓉、薇、娴、雯、女、姗、莎”,具体的赋值情况见表1:
表1 女性度最高的前20字及其赋值
| 1 | 媛 | 9.096* | 6 | 妮 | 8.224 | 11 | 婉 | 7.336 | 16 | 娴 | 6.746 |
| 2 | 花 | 8.782 | 7 | 娟 | 8.142 | 12 | 婕 | 7.315 | 17 | 雯 | 6.699 |
| 3 | 娜 | 8.433 | 8 | 妍 | 7.722 | 13 | 婧 | 7.305 | 18 | 女 | 6.699 |
| 4 | 莉 | 8.254 | 9 | 娇 | 7.560 | 14 | 蓉 | 6.995 | 19 | 姗 | 6.650 |
| 5 | 婷 | 8.232 | 10 | 娥 | 7.506 | 15 | 薇 | 6.968 | 20 | 莎 | 6.633 |
*赋值标记到小数点后第3位,下同。
在赋值表中,女性度最低的20个字是“键、政、龙、富、森、生、栋、柱、豪、虎、伯、勇、强、法、臣、甫、刚、标、左、彪”。它们基本都用于男名,极少用于女名,因而很难体现女性性别义,具体情况如表2:
表2 女性度最低的前20字及其赋值
| 1 | 键 | -4.601 | 6 | 生 | -4.765 | 11 | 伯 | -5.269 | 16 | 甫 | -5.993 |
| 2 | 政 | -4.641 | 7 | 栋 | -4.801 | 12 | 勇 | -5.364 | 17 | 刚 | -6.133 |
| 3 | 龙 | -4.654 | 8 | 柱 | -4.902 | 13 | 强 | -5.514 | 18 | 标 | -6.444 |
| 4 | 富 | -4.698 | 9 | 豪 | -4.963 | 14 | 法 | -5.736 | 19 | 左 | -6.607 |
| 5 | 森 | -4.747 | 10 | 虎 | -5.253 | 15 | 臣 | -5.816 | 20 | 彪 | -6.639 |
我们注意到,在赋值表中排在最前面的10个字(见表1),有8个都是“带女旁”的字,这也证实了上引潘文国和王奇的观察,而上文提到的“花、芳、莲、丽、兰”等也都有较高的女性度,其中“花”8.782,“芳”3.433,“莲”5.764,“丽”6.393,“兰”4.340。
同时,我们也看到,上引潘文提到的其他几类,如花鸟字、闺物字、珍宝字、彩艳字、柔景字、柔情字等,女性度普遍低于“带女旁”的字,潘文在讨论各个类别时列举了大量例字,我们抽出每个类别的前4个字分别考察其女性度,具体情况见表3。
表3 潘文各类别例字女性度
| 花鸟字 | 闺物字 | 珍宝字 | 彩艳字 | 柔景字 | 柔情字 | ||||||
|---|---|---|---|---|---|---|---|---|---|---|---|
| 花 | 8.782 | 闺 | 2.207 | 金 | -0.134 | 彩 | 5.817 | 月 | 3.190 | 宠 | -1.793 |
| 草 | 0.792 | 阁 | 1.014 | 银 | 0.184 | 艳 | 3.936 | 媚 | 6.377 | 爱 | 2.692 |
| 兰 | 4.340 | 钗 | 2.207 | 珠 | 3.802 | 秀 | 2.828 | 波 | -2.375 | 怜 | 1.207 |
| 惠 | 2.254 | 钿 | -2.378 | 玉 | 1.362 | 美 | 2.280 | 云 | 0.363 | 惜 | 1.792 |
由表中的数据,我们可以看到以下几点:
第一,类别与女名用字女性度之间没有直接关联。虽然“带女旁”的字普遍具有较高的女性度,但是我们看到,在其他类别里,这种关联并不明显。在每个类别里,都有高低的差异,有的差异甚至还比较大。比如柔景字中的“媚”和“波”,前者女性度高达6.377,而后者则低至-2.375。事实上,即使是“带女旁”的字,其女性度也并不完全一致,因此,不能完全依照类别来判断女名用字的女性度高低。
第二,偏旁与女名用字女性度之间也没有直接关联。虽然我们从感觉上以为女字旁、斜玉旁、草字头、雨字头等多用于女名,但是每个偏旁里的女名用字女性度并不相同,以草字头字为例,“花”为8.782,“莉”为8.254,而“草”仅为0.792,因此,我们不能完全从偏旁的角度来判断女名用字的女性度高低。
从某种程度上说,类别和偏旁似乎并不能很好地解决女名用字的女性度差异问题,因而我们以数据库为基础,提出女名用字女性度的概念(同样,对男名用字,也可以着眼于“男性度”进行研究,我们认为这同样是很有意义和价值的),试图将女名用字的女性度量化,这样或许能够找到一个新的观察、解释和表述角度。我们将尝试使用这一新的概念和方法,来对海峡两岸女性译名的性别义溢出情况进行对比分析。
二、基于女性度差异的两岸女性译名性别义溢出情况比较分析
根据赋值表的数值,我们分别统计了两岸女性译名的女性度,以“碧玉”为例,在赋值表中,“碧”赋值2.516,“玉”1.362,那么“碧玉”的女性度就是3.878(即2.516+1.362)。以下我们就按这种方法进行讨论和分析。
(一)基于整体与个体的两岸女性译名女性度差异比较
我们在调查中发现,台湾女性译名的女性度比大陆高,这可以从整体和个体两方面进行比较和说明。
1. 基于整体的比较
根据上述赋值表的统计结果,我们对200组译名中的每一个字分别赋值并求和(个别不在赋值表范围之内的字,如“赖”,按0计算);组内有多个译名的,按平均值统计(即累加组内单个译名的数值,再除以译名的个数),然后计算出大陆和台湾译名的女性度平均值,具体数据如表4:
表4 两岸女性译名女性度平均值比较
| 类别 女性度 | 大陆 | 台湾 | ||
|---|---|---|---|---|
| 政治人物 | 欧美明星 | 政治人物 | 欧美明星 | |
| 各类别平均值 | 1.356 | 3.673 | 3.094 | 6.688 |
| 总平均值 | 2.549 | 4.945 |
表4可以清楚地反映以下几点:
第一,无论在大陆还是台湾,欧美明星译名的女性度都高于政治人物译名。就数值来看,在大陆,欧美明星译名的女性度是政治人物译名的2.709倍(3.673/1.356);在台湾,这个比值是2.162(6.688/3.094)。
第二,无论政治人物译名,还是欧美明星译名,台湾译名的女性度都高于大陆。前者的数值对比是3.094:1.356;后者则是6.688:3.673。
第三,如果从整体上看,把政治人物和欧美明星两类译名合并比较,台湾译名的女性度仍然高于大陆。合并后,大陆译名的女性度是2.549,台湾是4.945,后者是前者的1.94倍。
2. 基于个体的比较
台湾译名女性度平均值高于大陆,这在很大程度上是因为台湾单个译名的女性度比大陆高。从翻译的角度来看,在译音相同(不考虑声调)的情况下,台湾译名往往选择女性度更高的字,而在译音不同的情况下,这种倾向更为明显和普遍。
就前一种情况来说,有些译名两地翻译大体相同,但是在个别字(往往是同音字)的选择上有所不同,从而导致两地译名的女性度有所差异,有时这种差异还比较大,如表5所示:
表5 两岸女性译名同音字的女性度比较
| 大陆 | 台湾 | ||
|---|---|---|---|
| 译名 | 女性度 | 译名 | 女性度 |
| 英拉 | 3.301 | 盈拉 | 3.560 |
| 安吉・艾佛哈特 | -1.518 | 安姬艾佛哈特 | 3.529 |
| 弗林特 | -2.805 | 芙琳特 | 6.037 |
| 莫斯科索 | -2.216 | 莫丝柯索 | 1.687 |
这一组例子译音基本没有差别,但是从数值和语感上看,大陆译名的女性度都没有台湾高,主要原因在于译名中选择的字女性度有所不同,台湾译名中的“盈、姬、芙、琳、丝、柯”要比大陆译名中的“英、吉、弗、林、斯、科”女性度更高,因而整个译名也更显女性化。这样的例子还有不少,比如“伊萨贝尔—伊沙贝尔、萨拉·佩林—莎拉帕林/莎拉•培林/莎拉裴琳、伊丽莎白—伊莉莎白”等,在我们的统计范围内共计32组。
就后一种情况来说,在译音不同的情况下,台湾译名更倾向于选择女性度较高的字,如表6:
表6 两岸女性译名不同译音形式女性度比较
| 大陆 | 台湾 | ||
|---|---|---|---|
| 译名 | 女性度 | 译名 | 女性度 |
| 拉尼娅 | 9.182 | 蕾妮亚 | 12.692 |
| 科拉松·阿基诺 | -5.005 | 柯拉蓉艾奎诺 | 5.521 |
| 米歇尔 | -0.586 | 蜜雪儿 | 7.753 |
| 米夏埃尔·让 | -0.616 | 蜜雪儿尚恩/庄美楷 | 1.923 |
这几组译名形式上相差比较大,有的甚至很难让人看出翻译的是同一个人名,比如最后两例。这样的情况比前一种似乎更普遍,类似的再如“托宁·施密特(-0.775)—桑宁·施密特(1.888)、卡巴耶娃(0.843)—卡贝耶娃(2.924)、西尔维拉(-1.969)—史薇拉(7.212)”等,共有111组。在上表中,最后两组译名台湾都有“蜜雪儿”的译法,但是我们发现二者的女性度差别较大,这里面的原因恐怕有两个:一是作为译名一部分的“尚恩”女性度不高,“尚”的女性度是-2.203,“恩”的女性度是-1.698;二是作为另一种翻译形式的“庄美楷”女性度不及“蜜雪儿”,二者求和后拉低了平均值(关于影响译名女性度的因素,我们将在下文讨论)。在我们考察的语料之外,也有人提到这个问题,比如吴礼权谈到,美国前总统克林顿的女儿Chelsea Clinton 大陆译为“切尔西”,而台湾译为“雀儿喜”,相比之下,后者的女性度显然更高。11
(二)基于女性标记使用强度和使用范围的比较
译名的女性度高低与译名中女性标记的使用情况密切相关,两岸女性译名在女性标记的使用强度和使用范围上均有不同,台湾更倾向于使用强标记,其译名中所使用的女性标记的用字范围也比大陆译名要广。
1. 基于女性化标记使用强度的比较
在赋值表中,如果以0为界,赋值大于0的一般可视为具有一定的女性化色彩,在我们的统计中,“媛”排在首位,赋值为9.096。为便于比较,我们在0-10之间,取“1、3、5、7”为分界点,比较两岸译名在标记使用强度上的差异。
我们对200组译名中每个字分别赋值,然后再按照数值的大小进行归类。以“希拉蕊”为例,在赋值表中,“希”为-0.155,“拉”为0.037,“蕊”为4.821,“希”和“拉”赋值都小于1,因而不作统计,“蕊”符合“≥1、≥3”这两个条件,在这两类中分别计入,两岸女性译名女性化标记使用强度的具体数据见表7:
表7 两岸女性译名女性化标记使用强度比较
| 类别 等级 | 大陆 | 台湾 | ||||
|---|---|---|---|---|---|---|
| 女性政治人物 | 欧美女明星 | 合计 | 女性政治人物 | 欧美女明星 | 合计 | |
| ≥7 | 19 | 39 | 58 | 25.44 | 52.84 | 78.28 |
| ≥5 | 19 | 68 | 87 | 38.54 | 76.24 | 114.78 |
| ≥3 | 42 | 107 | 149 | 79.39 | 136.44 | 215.83 |
| ≥1 | 120 | 194 | 314 | 156.47 | 238.76 | 395.23 |
需要说明的是,台湾译名和部分大陆译名存在多种翻译方式,200组译名存在一对多或者多对多的关系(如“贝娅特丽克丝—碧翠丝/碧翠斯”、“卡法娜/卡尔法尼亚—卡法格纳/卡芳娜”),两地译名的数量并不完全对等,大陆译名共214个(政治人物类111个,欧美明星类103个),台湾译名共298个(政治人物类144个,欧美明星类154个)。
由于两地译名数量有较大差异,一般而言,译名数量较多的从理论上讲会包含更多的女性标记,如前所举“贝娅特丽克丝—碧翠丝/碧翠斯”,“碧、翠”在两个译名中都有出现,如果直接累加对比势必有失公平和准确,因为台湾译名所包含的女性标记数量必然远多于大陆译名。
为公平比较起见,我们对台湾译名中标记的数量按比例进行折算。政治人物方面,台湾按77.08%(111/144)折算,欧美明星方面,台湾按66.88%(103/154)折算,两地译名在使用标记强度上的差异依照折算后的数据进行比较。
表7显示,在4个等级的区分中,台湾译名所使用的标记数量都多于大陆译名,以强标记(≥7)为例,这一级别的译名用字主要有“媛、花、娜、莉、婷、妮、娟、妍、娇、娥、婉、婕、婧”等,就数量来看,大陆使用58次,台湾使用78.28次,比大陆多34.97%;如果结合译名主人的身份,可以看到,大陆女性政治人物译名用了19个,台湾此类用了25.44个;大陆欧美女明星译名用了39个,台湾此类用了52.84个。这4个数据可以带来以下三点认识:一是就类别来看,明星译名使用了更多的强标记,大陆和台湾都是如此;二是就地域而言,台湾译名使用的强标记数量更多,政治人物译名如此,明星译名更是如此;三是就合并后的数值来看,台湾译名使用的强标记多于大陆译名。其他几组(≥5、≥3、≥1)也是类似的情况,由于台湾译名使用了更多的女性标记,其译名的女性度也就更高。
2. 基于女性化标记使用范围的比较。
一般来说,女性度较高的字能较好地“标记”译名的性别特征,不过,两岸译名在这些标记的使用范围上存在一定的差别,台湾译名使用的女性标记比大陆译名范围更广。
为了便于比较,我们按女性度的高低进行分类,将两岸对称翻译的译名中用到的标记一一列出,分5个等级即≥8、6≤X<8、4≤X<6、3≤X<4、2≤X<3来进行比较。在同一等级的译名中,两地译名都使用过的标记,如“娜、莉、妮”等直接列出,只在一地译名中出现的(如“蓉”等,只在台湾译名中出现,在大陆译名中没有出现)用着重号标示,以示区别,具体数据见表8:
表8 两岸女性译名女性化标记使用范围比较
| 类别 等级 | 大陆 | 台湾 | ||
|---|---|---|---|---|
| 译名中出现的标记 | 数量 | 译名中出现的标记 | 数量 | |
| ≥8 | 娜莉妮 | 3 | 娜莉妮 | 3 |
| 6<X<8 | 薇莎娅丽 | 4 | 蓉薇莎娅丽 | 5 |
| 4<X<6 | 珊茜丹素兰菲珍伊曼 | 9 | 莲香翠蕊柔兰蜜丹菲琴珍伊曼 | 13 |
| 3<X<4 | 雅蕾姬英琼玛琳芙采 | 9 | 雅洁蕾盈依姬芳荷英绮琼玛沙露琳芙朵嫚 | 18 |
| 2<X<3 | 爱姆麦尼黛碧柳丝美苏赛贝纳咪舒密 | 16 | 爱岚雪姆麦尼黛姐碧柳丝美苏赛芮贝纳咪密 | 19 |
| 总计 | 41 | 58 |
由上表我们可以看到,在“≥8”这一等级中,两地译名所使用的标记大致相同,在其他4个等级里,台湾译名所使用的标记范围都比大陆广。从总体上看,大陆译名中出现而台湾译名中没有出现的标记有“素、珊、茜、采、舒”等5个;台湾出现而大陆没有出现的则有“蓉、莲、香、翠、蕊、柔、蜜、琴、洁、盈、依、芳、荷、绮、沙、露、朵、嫚、岚、雪、妲、芮”等22个。
三、女性译名性别义溢出情况差异的影响因素
通常来说,具有较强女性特征的字,也就是强标记(赋值表中排名靠前的那些字)的使用与否,对译名的性别义溢出情况影响较大,人们根据这些常见于女名的字可以推断译名主人的性别,但是事实上,女性译名性别义溢出的影响因素并不仅限于此,一些其他因素也会影响人们对译名的性别判断,其中主要有男性及中性标记的使用、音节长度、女性标记的数量和位置等,以下就此进行初步的讨论。
(一)男性及中性标记字的使用
马玥璐通过问卷调查证明,对人名的性别判断会受“人名中汉字原本的性别化倾向”影响,因为人名中明显的性别化特征已经事先被人内化成“心向”,人们根据这种“心向”来判断名字的性别可能。12另外她还提到,无明显性别特征的中性词组成的人名更多地倾向于归类为男性特征,而少归为女性特征。可见,男性及中性标记会对整个译名的女性化判断产生负影响。
当译名中有女性特征字时,男性标记的出现会降低整个译名的女性度。比如,加拿大女星Elisha Cuthbert,大陆译为“伊丽莎·库斯伯特”,看前一部分,很容易和女性关联起来,但是后一部分“库斯伯特”就会有一些干扰,因为“库、斯、特”都属于中性甚至偏男性的字,而“伯”字更是如此,仅这一个字就使整个译名的女性度降低了5.269。相比之下,台湾翻译的“艾莉莎库丝柏”女性化程度就高一些。虽然“柏”字也不常用于女名,但比“伯”的女性度要高。这两个名字的女性度也证明了这一点:前者为6.994,后者是12.742,后者几乎是前者的2倍。在此例中,“库斯伯特”属于姓,而姓一般是中性的,甚至是男性化的,所以潘文国认为女名女译是正常的“义溢出”,而女姓女译则是“翻译过度”。7台湾有时不受姓氏的影响,甚至把姓也当成名的一部分,由此而“过度翻译”,这样一方面离原名的距离比较大,另一方面与大陆的差异也比较明显。
当译名中没有明显的女性特征字时,男性标记就显得更为突出,整个译名的性别判断趋向于男性,比如冰岛女歌手 Bjork,大陆翻译为“比约克”,这3个字都没有明显的女性特征,因而很难判断为女性,台湾翻译为“碧玉”就有明显的女性特征;再如美国好莱坞女演员 Drew Barrymore,大陆翻译为“德鲁·巴里摩尔”,这6个字几乎都没有女性色彩,整个译名甚至让人感觉有较强的男性色彩,而台湾的译名是“茱儿芭莉摩”,前4个字“茱、儿、芭、莉”都有一定的女性色彩,因此整个译名很容易让人作出女性的性别判断。类似的还有美国女演员 Bridget Fonda,大陆译为“布里奇特·方达”,台湾译为“布丽姬芳达”;菲律宾前女总统 Corazon Aquino,大陆译为“科拉松‧阿基诺”,台湾译为“柯拉蓉·艾奎诺”等。
(二)音节长度
当译名中女性标记数量一定时,音节越长,译名的女性度就越低,而人们对译名的女性化判断也就越弱。
我们以女名常用强标记“莉”为对象,分别考察其在不同音节译名中的情况。当译名中只有“莉”字能凸显女性特征时,译名音节越长,它的女性感受度就越低,例如(表9):
表9 译名音节长度对译名女性度的影响
| 原名 | 译名 | 音节长度 | 女性度 |
|---|---|---|---|
| MichelleBachelet | 巴契莉 | 3 | 8.254 |
| Lauren Holly | 劳伦·霍莉 | 4 | 5.942 |
| Ashlee Simpson | 阿什莉·辛普森 | 6 | 3.001 |
| Yulia Timoshenko | 尤莉亚·季莫申科 | 7 | 3.416 |
| Nathalie Kosciusko-Morizet | 纳塔莉·科希丘什科-莫里泽 | 11 | -2.372 |
当译名音节较少时,“莉”的标记性比较突出,随着音节的增加,“莉”的女性标记性越来越弱,在11个音节的译名“纳塔莉·科希丘什科‧莫里泽”中,“莉”几乎被埋没在其他男性及中性特征字当中,整个译名的女性感受度也降到最低。从女性标记来看,如果3个音节里有1个女性标记,那么女性标记的数量在整个音节中所占比例为1/3,而当译名音节增加至11个时,唯一的1个女性标记只占到整个音节长度的1/11,也就是说随着音节的增加,女性标记在译名中的“浓度”从总体上被“稀释”了;而从中性及男性标记的角度来看,这个比例由2/3增加到了10/11。换言之,音节增加后,中性及男性标记的比例也随之增加,而这必然会对整个译名的女性化判断造成干扰。
在我们收集到的材料中,译名形式较长,即超过10个音节的,女性度普遍不高,例如:
表10 音节较长的女性译名及其女性度
| 原名 | 译名 | 音节长度 | 译名女性度 |
|---|---|---|---|
| Pratibha Devisingh Patil | 普拉蒂巴·德维辛格·帕蒂尔 | 11 | -2.786 |
| Madeleine Korbel Albright | 马德琳·科贝尔·奥尔布赖特 | 11 | -12.432 |
| Gloria Macapagal Arroyo | 格洛丽亚·马卡帕加尔·阿罗约 | 12 | 3.937 |
| Patricia Espinosa Cantellano | 帕特里夏·埃斯皮诺萨·坎特利亚诺 | 14 | 0.618 |
| Cristina Fernandez de Kirchner | 克里斯蒂娜·费尔南德斯·德基什内尔 | 15 | -4.318 |
在这5个译名中,有两个女性度大于0,但数值并不高,有3个女性度为负数,其中“马德琳‧科贝尔·奥尔布赖特”达到-12.432,这个译名看上去基本没有女性色彩,一般人会更倾向于判断为男名。
(三)女性标记的数量和位置
一般来说,女性标记数量越多,女性化特征越明显,译名的女性度也就越高。在台湾的译名中,尤其是欧美明星的译名中,这种特征体现得非常明显,许多女明星的译名都包含3个甚至更多的女性标记,例如“布丽姬芳达、伊莎贝艾珍妮、芮丝薇丝朋、蕾妮齐薇格、凯萨琳丽塔琼斯”等。
相反地,译名中女性标记数量越少,译名的女性化特征就越不容易体现,译名的女性度也就越低,比如“碧昂斯—碧昂丝”,大陆的译名只有一个标记,台湾则有两个,相比之下,大陆译名的女性度就不及台湾高(前者为0.966,后者为2.345)。类似的还有“比约克—碧玉、安吉—安琪、艾佛哈特—艾芙哈特、克里斯蒂娜・里奇—克莉丝汀蕾西”等。
从译名的位置以及读者的心理来说,女性标记出现在前要比出现在后给人的印象更深,这里边或许存在一种“先入为主”的主观判断。例如“丽芙·泰勒、莉苔希娅·考斯特、克莱尔·丹丝、布鲁克雪德丝”这4个译名,都有两个较强的女性标记,只是有的在前,有的在后;有的比较集中,有的位置分散。相比而言,标记出现在前的(前两个),更容易判断女性性别。此外,如果分别比较前两例和后两例,我们发现,集中出现的“丽芙”和“丹丝”要比分散出现的“莉苔希娅”和“雪德丝”女性化心理感受度更高。
余论
“语言的共时差异往往反映历时的演变”,13两岸女性译名在性别义溢出上的共时差异大致也包含了历时发展的因素。简而言之,台湾译名继承和保留了早期现代汉语的译名特点,而大陆则拉大了与早期现代汉语的距离,从而形成了两岸译名的共时差异。
早期现代汉语中,无论是人名、地名或者其他专名的翻译都有义溢出的习惯。比如1940年傅东华首译《飘》,为Katie Scarlett“取名为思嘉,小名叫加弟”,陆颖就此说道:“毋庸多言,‘加弟’符合中国传统习俗,将父亲盼生男孩的期望表达得淋漓尽致。”14其他人的译名,如“白瑞德、韩白蝶、韩媚兰、汤伯伦、温艾伯”等,从这些译名中,不难看出译者对“人物身份、志向、性格、命运等的考虑”。15李韧之等认为这种“民族化”的译名“性别分明”,但是“读者感到很不自然”。16由此我们可以看到,早期的译名“中国化”的不仅仅是音节形式,整体内涵甚至性别区分等也都反映着中国人的命名心理。时至今日,台湾依旧保留着这种中国风的译名方式。与台湾不同,大陆对异域文化的差异性给予更多的关注和尊重,所以译名体现出较强的“异域辨识度”,即如岳静等指出的,在为外国人名汉译形式选字时,应“尽可能避开汉语人名常用字和常用搭配,选用汉语人名不常用、组合意义不明显的汉字”,17这基本反映了我们的译名习惯。
在台湾作家的作品里,女性名字的女性化倾向也往往比大陆突出,比如琼瑶的作品就是如此:
莫雁华、余仲芳、董伊红、姜巧绢、沈淑贞、方依依(《哑妻》)
夏婉君、张玉琴、崔尚琪、李明芳(《婉君》)
章念琦、章念瑜、章念琛、章佩如、叶霜华(《三朵花》)
陆依萍、陆如萍、陆梦萍、方瑜、李可云、傅文佩、王雪琴(《烟雨濛濛》)
这些名字中的“华、芳、红、绢、淑、贞、琴、瑜、萍、雪”等都具有较强的女性特征,读者由名字就能大致推断出小说人物的性别特征以至性格特征。
此外,在现实生活中的真人真名中,这一点同样也有所反映。我们考察了台湾一些学校部分班级的学生名单,包括桃园县立经国国民中学2009学年度7年级1至10班名单、新竹县自强国中2010学年度新生编班名单以及花商2009年编班名单等,我们以一个班级为例,该班共有女生17人,即(此处隐去姓氏):
钰婷、乃慧、雯琪、倬慧、书萍、怡静、芷婷、采轩、芷琳、湘庭、歆容、琇珊、宇薇、贞邑、子瑭、思懿、立廉
为了和上述台湾班级的名字稍作比较,我们从大陆玉山县某中心小学2007~2008学年度新生花名册中,按照学号顺序从前往后抽取17人,她们的名字是:
梦露、海燕、晨、小玉、佳欣、佳、龙艳、芳燕、江玉、艳芳、明新、薇薇、金燕、苗苗、哲、萍、明羽
我们分别计算了每一个名字的女性度,最后将两组名字的女性度求和进行比较,台湾17个女名的女性度之和是70.807,大陆是47.907,前者是后者的1.478倍。
吴礼权认为,两岸译名差异不仅仅是文字的问题,更是两地中国人不同语言心理的折射,反映出海峡两岸中国人在对待外来文化和传统文化上的微妙心理差异,台湾翻译外国人名注重姓氏化、在译字的选择上更多地体现了中国传统文化“以我为中心”、“万物皆备于我”的“天朝心态”,而大陆的外国人名译字则表现出“一种开放多元的文化心态”,中国传统文化的烙印渐趋淡化。11这种对比在“雀儿喜、白芙倩”一类译名上表现得最为明显。
此外,有人认为受众的欣赏趣味也会对人名翻译产生一定的影响,杨晓荣曾以《飘》为例说,上世纪90年代的两个版本(上海译文出版社1990,北京外国文学出版社1990)都不约而同地放弃了“郝思嘉、白瑞德”的译法,部分原因就在于“社会发展了,读者的欣赏趣味不同了,翻译标准也要随之变化”。18
海峡两岸语言不仅只有差异,还有在差异基础上的融合。十多年前,我们曾经指出,两岸语言某种程度的融合,主要是通过大陆向台湾靠拢而实现的,19但十多年后的今天,情况已经明显改变,即由单向吸收和引进转变为真正的双向互动、彼此吸收,而这一现实在女性译名中同样也有表现。就本文的考察对象而言,在我们收集的87位女性政治人物的译名中,两岸译名大致相同的有23人;113位欧美明星译名中,有12人译名完全相同,还有部分译名只在个别译字上稍有不同。比如,国际货币基金组织(IMF)总裁 Christine Lagarde,两地都翻译成“拉加德”;爱尔兰女总统 Mary Mcaleese,两地都译为“麦卡利斯”;新西兰女总理、联合国开发计划署署长 Helen Clark,两地均译为“克拉克”;美国食品药品管理局(FDA)局长 Margaret Hamburg,两地都有“汉伯”的译名形式。需要说明的是,因为大陆的译名相对统一,台湾的译名比较复杂,所以这种对应关系主要是台湾的某一个译名形式和大陆译名基本相同。
这种双向互动式的融合一方面得益于近年来大陆经济的繁荣与发展、国际地位的不断提高,以及两岸交往与交流的持续升温,另一方面也与互联网的普及与日渐放开有直接关系。就后者来说,我们可以见到大陆主流媒体经常转载台湾网站的新闻,同时也能看到台湾网站直接转载或引用大陆媒体的稿件。可以说,两岸已经初步搭建起语言相互交流和影响的平台,而这无疑会大大促进两地语言进一步的趋同与融合。
就两岸语言对比研究来说,台湾“国语”与大陆普通话本来就同宗同源,再加上正处于不断由差异趋向融合的过程中,因此实际的情况是,就绝大多数语言现象的差异而言,都不是有无之异,而是多少之别,或者说是只有倾向性而没有本质性的差异。所以,我们在研究中,除了必要的定性分析外,应该更多地借重于定量的分析。在以往的研究中,所谓定量分析,多是在相对封闭的语料中对某一或某些项目的使用数量和频率等进行简单的统计、对比和说明,不但范围有限,经常也难以深入。为了改变这一现状,我们尝试使用数学计算的方法进行与以往不同的数据提取、处理和分析,这或许可以为今后的研究开辟一条新的路径。
在线阅读/下载 PDF
-
郑启五.海峡两岸用语差异[M].福州:福建人民出版社,1989. [p.76-95] ↩︎
-
邱质朴.大陆和台湾词语差别词典[Z].南京:南京大学出版社,1990. [p.349-371] ↩︎
-
方梦立.海峡两岸间人名地名翻译的差异及统一规范化的必要性和意义[J].北方论丛,1999,(1). ↩︎
-
贺文照.海峡两岸翻译的差异及其对策的思考[J].英语研究,2002,(1). ↩︎
-
林木森.汉语人名地名音译词的“义溢出”现象探析[J].福建师范大学福清分校学报,2006,(4). ↩︎
-
周风琴.两岸三地外国人名地名翻译异同对比[J].皖西学院学报,2009,(4). ↩︎
-
潘文国.汉语音译词中的“义溢出”现象[A].英汉语比较与翻译4[C].上海:上海外语教育出版社,2002. [p.575, p.590] ↩︎ ↩︎
-
潘文国.实用命名艺术手册[M].上海:华东师范大学出版社,1994. [p.212-214] ↩︎
-
王奇.外文人名汉译选字探微[J].修辞学习,2003,(3). ↩︎
-
朱明胜.西方人名的汉译[J].长春大学学报,2011,(7). ↩︎
-
吴礼权.从海峡两岸对西方人名翻译的修辞行为看中国传统文化心理在两岸存续的现状[A].刁晏斌.两岸四地现代汉语对比研究新收获[C].北京:语文出版社,2013. [p.301, p.310-316] ↩︎ ↩︎
-
马玥璐.探讨人名性别化的Stroop效应[J].学术论丛,2009,(26). ↩︎
-
戴庆厦,田静.从共时差异看语言濒危——仙仁土家语个案研究之三[J].中南民族大学学报,2004,(2). ↩︎
-
陆颖.历史、社会与文化语境中的复译——Gone with the Wind 中译研究(1940—1990年)[J].同济大学学报,2008,(4). ↩︎
-
张逵.英汉文学作品人名的意蕴及翻译[J].山西师大学报(社会科学版),2000,(1). ↩︎
-
李韧之,沈刚,吴灿中.从译名现状看外国人名翻译的必然趋势[J].中国翻译,1991,(6). ↩︎
-
岳静,付吟璐.浅析外国人名汉译的规范化问题[J].文学界(理论版),2012,(5). ↩︎
-
杨晓荣.翻译批评导论[M].北京:中国对外翻译出版公司,2005. [p.197] ↩︎
-
刁晏斌.差异与融合——海峡两岸语言应用对比[M].南昌:江西教育出版社,2000. [自序2] ↩︎
学术资源库